Units: m (meters) and s (seconds)
Example:



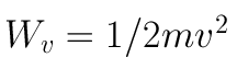
Example: Gravitational Potential Energy =
Example: Potential and Kinetic energy, dropping a ball
Initial Potential + Initial Kinetic = Final Potential + Final Kinetic
Mass cancels!! (Galileo and later some moon-walkers proved this experimentally)
Example: If I pound water into a hose, it either comes out the other
end or the hose eventually blows up. Mass is conserved.
Example: A fulcrum with a pivot at 1/3 its length will balance with
twice as much mass on the short end as on the long end.
Assume it's balanced and at rest (acceleration = 0)
A spring with constant k (Force = -k y)
A mass with mass m
Some oil with damping R (Force = -R v)
y is the signed displacement from equilibrium (at rest with y = 0).
Minus sign on spring term means force acts to restore mass to rest position.
Minus sign on damping term means force acts against motion,
proportional to velocity.
Solutions:
