COS 226 Homework #7
Due: Tuesday, April 19, 2005
Written Exercises
Follow the instructions on the assignments
page on how and when to turn these in. Point values of each problem are
shown in brackets. Be sure to also complete the programming part
of this assignment, including the program report.
- [4] (CLRS
exercise 22.4-1, slightly adapted) Show the ordering of vertices
produced by the topological sort algorithm given in class when it is run on
the following DAG:

Assume that DFS considers vertices in alphabetical order, and that all
adjacency lists are also given in alphabetical order.
- [10] (CLRS
exercise 22.4-2, slightly adapted) Give a linear-time algorithm that
takes as input a directed acyclic graph G and two vertices s
and t, and returns the number of paths from s to t
in G. For example, in the DAG above, there are exactly four paths
from vertex p to vertex v: p-o-v, p-o-r-y-v, p-o-s-r-y-v and p-s-r-y-v. (Your algorithm only needs to
count the paths, not list them.)
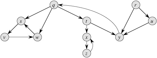
- [4] (CLRS
exercise 22.5-2, slightly adapted) Show how Kosaraju's algorithm works on the following graph:

Specifically, show the postorder numbering computed in the first phase of
the algorithm. Then show the DFS forest produced in the second phase.
Assume DFS in the first phase considers vertices in alphabetical order and
that the adjacency lists are in alphabetical order.
- [4] Give a simple example of a directed graph with negative-weight edges but
no negative cycles for which Dijkstra's algorithm produces incorrect
answers. Be sure to demonstrate why Dijkstra's algorithm fails on your
example.
- [4] Consider a network defined on five vertices A, B,
C, D and E with the
following directed edges and edge weights:
B-A
1
B-C 1
C-A 5
C-D 1
D-A 3
D-B 1
E-C 1
E-D 4
(For instance, the first line represents a directed edge from B to
A with edge weight 1.)
Show how the Bellman-Ford algorithm computes shortest paths on this graph when
E is the source vertex. Use the version of
Bellman-Ford given in class which considers all edges on every
iteration. Assume edges are considered in the order given above. After each iteration, show
the value of wt for each vertex.